為了滿足管道系統調節性能的要求,本文基于計算流體力學(CFD),研究了閥口節流截面形狀對套筒調節閥調控的影響。討論了橢圓型閥口、V 型閥口和扇形閥口 3 種類型的節流閥。結果表明,流道的幾何形狀對流量系數影響很大;V 形閥口具有類似的等百分比流量特性;扇形閥口具有類似的線性流動特性。相對特性隨截面形狀的變化而變化。在小開口時,閥門的內部流動更為復雜。閥芯附近的能量損失相對較大。
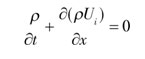
ρ--流體密度,kg/m3;
U--速度,m/s;
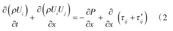
τij--平均流動的黏性剪切應力;
τij′--由速度波動引起的雷諾應力; d ——閥門進出口直徑,m;
D ——管道直徑,m;
G ——能量傳遞速率,W/(K•s); k ——湍動能,J; K ——流量系數;
P ——靜壓值,Pa;
Q ——體積流量,m3/h; β——常量,β =0.09;
Δp ——壓差,Pa;
ε——湍動能耗散率,%;
κ ——熵產指數;
i,j ——下標,笛卡爾坐標系中的 3 個方向。
控制閥主要用于控制管道系統中的流體流動。 套筒調節閥是控制閥門的一種,其特點是內部結構復雜,流量特性由流通截面決定。但是,單流量特性的限制了閥門的使用范圍,對套筒調節閥不同節流段的流量特性進行研究,可以為調節閥的優化提供參考。

Guillermo 等[1],使用計算流體動力學(CFD)評估了幾何形狀對3D 控制閥性能的影響。Bruce 等 [2]提出了一個模型測試程序,該程序可用來確定閘閥噪聲源。Jazi 等[3]研究了閥座幾何形狀引起的空化聲學波形,對識別球閥內的空化具有很[4]開發了一種用于不同類型和扇形閥口(如圖 2 所示)型液壓閥的流動參數化建模的方法。

Claudio[5]研究了通過球閥和閘閥的流量,并改進了兩相流條件下的壓降計算模型。Dazhuan 等 6 引入 CFD 方法擬合壓力控制閥的流量 壓力曲線,通過實驗驗證了仿真結果的準確性。 Garcia-Sandoval 等[7]利用熱力學對閥內熵產生的 Lyapunov 候選函數進行了分析,并提出了一種基于閥內熵產生的系統。計算流體動力學(CFD)技術是分析流體機[ ]械內部流場的一種成熟方法 8-11 。本文采用基于有限體積法的商業軟件 FLUENT 分析了套筒調節閥內部流動特性和相關系數。
湍流被認為是具有不規則旋轉的高度復雜的三維非定常流動。使用標準 k-ε 湍流模型,基本控制方程主要由連續性方程和 Navier-Stokes 方程組成。 連續性方程[12]可以寫成:

Navier-Stokes 方程[13]可以表示為:

計算網格如圖 3 所示。為了提高仿真效率,采用了結構網格與非結構網格相結合的混合網格技術,引用 SIMPLEC 算法以提高計算精度,上游和下游管道長度為 10D(D,管道的直徑),不同開度,不同閥口的網格數從 302 萬到 315 萬不等。為了驗證網格數對計算結果的影響,研究了 3 種不同數量的網格。表 1 為網格無關性驗證結果,在全開工況下,閥門上游 2D 和下游 6D 之間監測壓降。結果表明,當網格數超過 300 萬時,壓降相似。為了提高計算的效率和精度,數值模擬采用了 300 萬網格模型。

